Λειτουργικά ᾿Ανδρέου ᾿Αλιπράντη

πρωτοψάλτης στόν καθεδρικό ναό ἁγίου ᾿Ιωάννου προδρόμου Γέρακα
Κανόνες Δ. Συζήτησης
῾Η χρῆσις τοῦ δημοσιευομένου ὑλικοῦ καὶ τῶν συνημμμένων ἀρχείων διέπεται ἀπὸ τοὺς παρακάτω ὅρους·
α) γιὰ τὰ πνευματικὰ δικαιώματα viewtopic.php?f=138&t=430&p=1237#p1236
β) γιὰ τὰ ἐμπορικὰ δικαιώματα viewtopic.php?f=138&t=430&p=1237#p1237

Λειτουργικά ᾿Ανδρέου ᾿Αλιπράντη

Δημοσίευσηαπό Dionysios » Παρ 14 Αύγ 2009, 09:21:16

Λειτουργικά, ἦχος α΄, ὑπὸ ᾿Ανδρέου ᾿Αλιπράντη (2003)
A23.jpg

A24.jpg

A25.jpg
Άβαταρ μέλους
Dionysios
 
Δημοσ.: 3950
Εγγραφη: Πέμ 11 Σεπ 2008, 21:30:05
Τοποθεσια: ᾿Αθῆναι

Re: Λειτουργικά ᾿Ανδρέου ᾿Αλιπράντη

Δημοσίευσηαπό Dionysios » Παρ 14 Αύγ 2009, 09:28:06

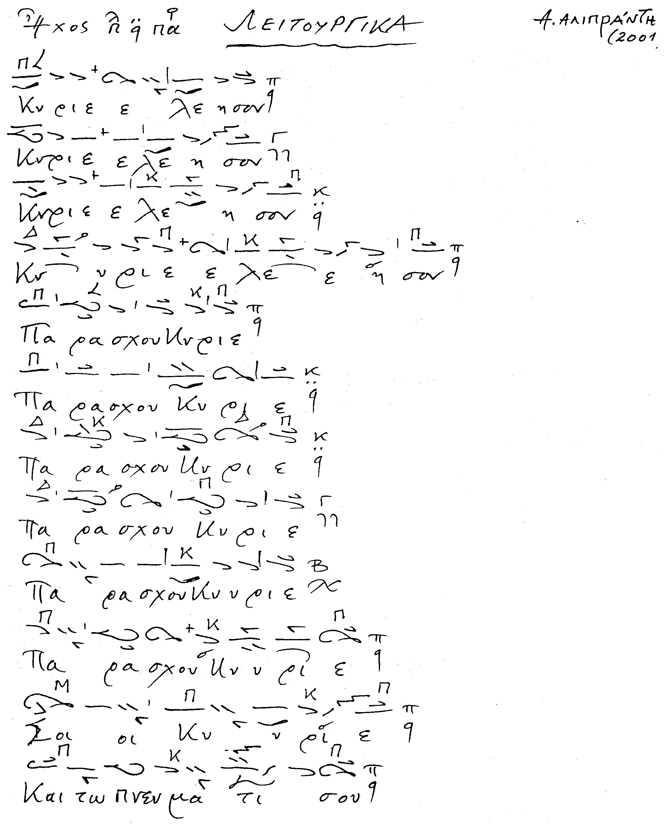
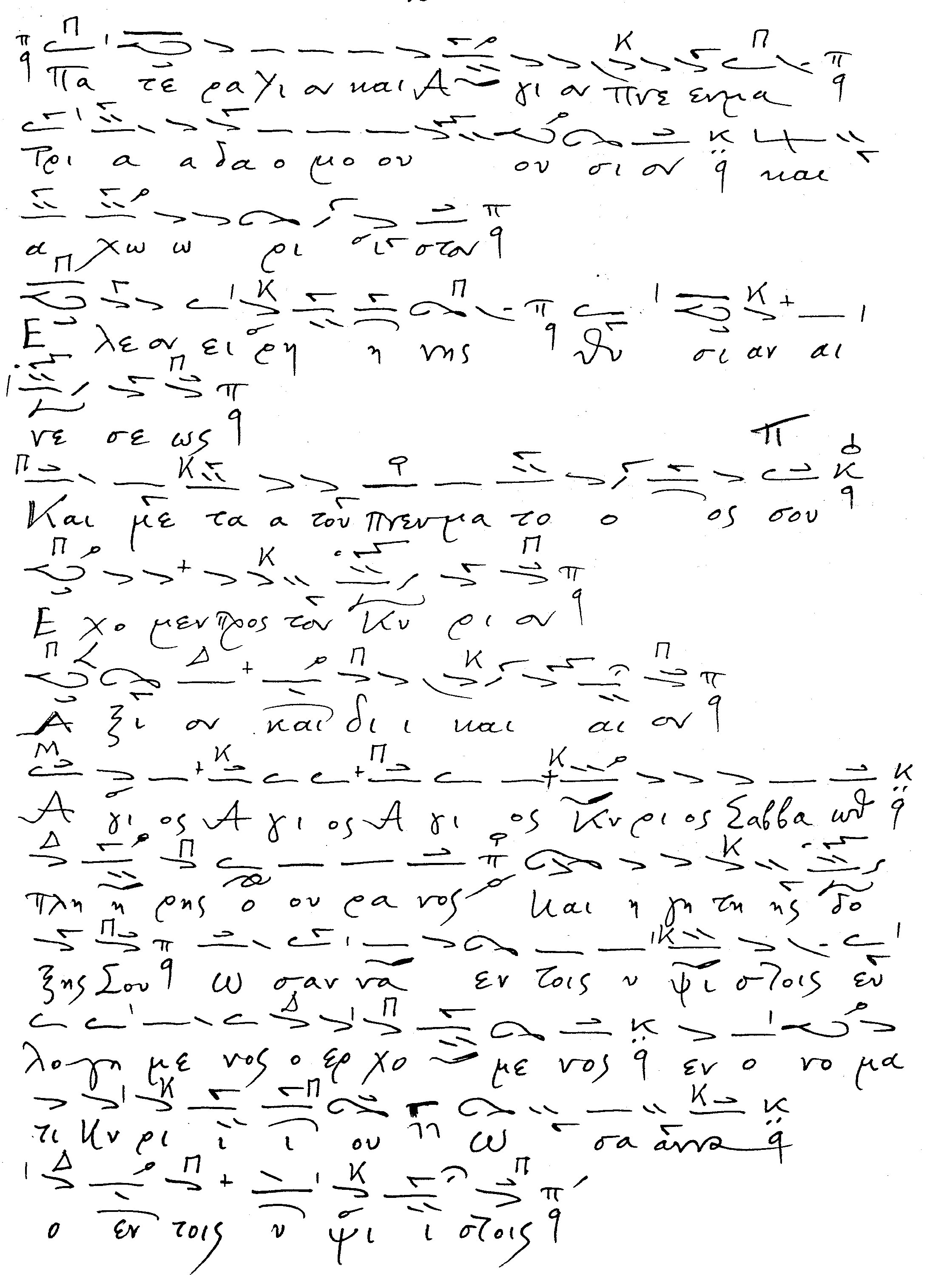
Λειτουργικά, ἦχος β΄, ὑπὸ ᾿Ανδρέου ᾿Αλιπράντη (2001)

A26.jpg
A27.jpg
A28.jpg
Άβαταρ μέλους
Dionysios
 
Δημοσ.: 3950
Εγγραφη: Πέμ 11 Σεπ 2008, 21:30:05
Τοποθεσια: ᾿Αθῆναι

Re: Λειτουργικά ᾿Ανδρέου ᾿Αλιπράντη

Δημοσίευσηαπό Dionysios » Παρ 14 Αύγ 2009, 09:44:57

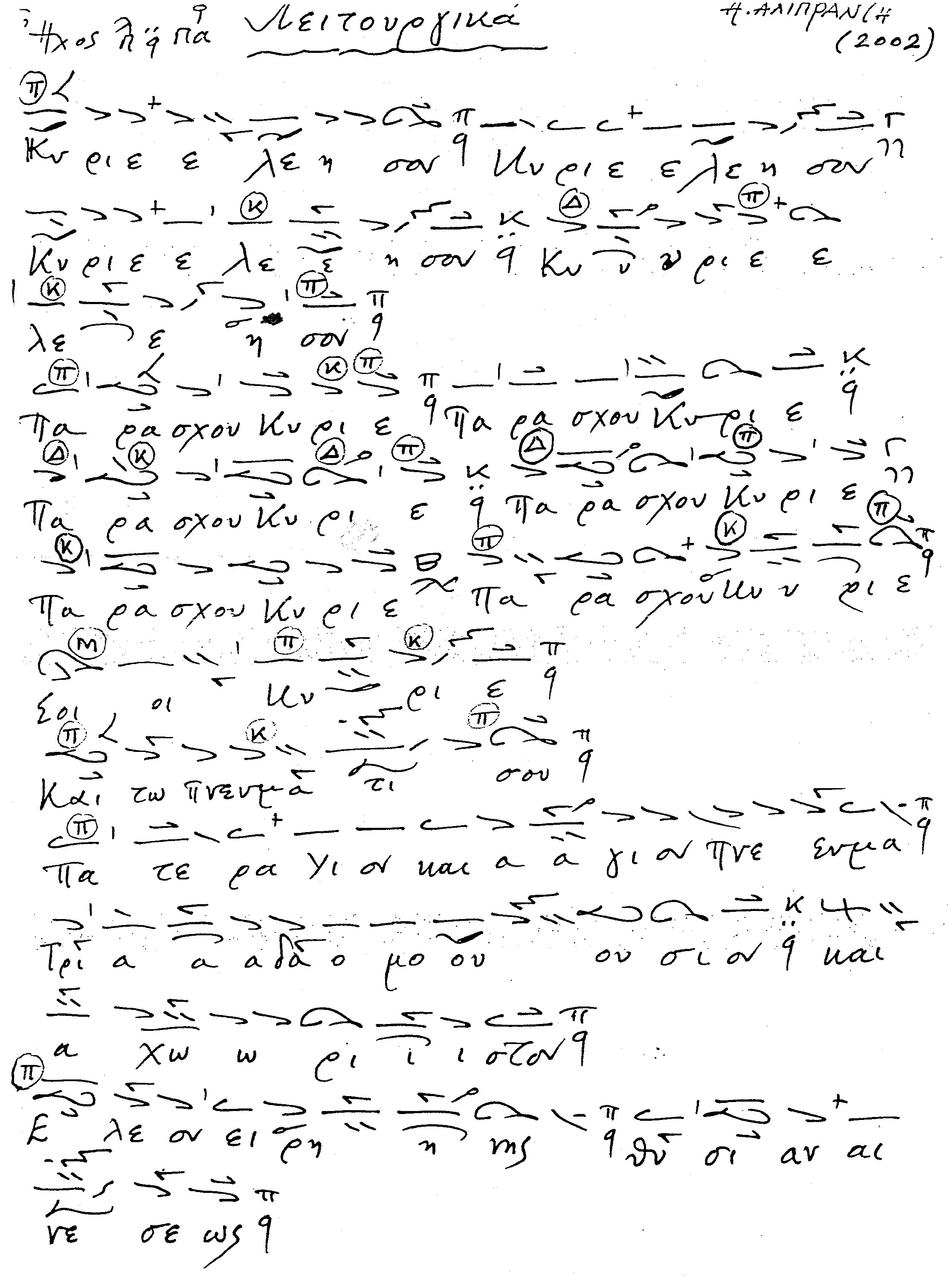
Λειτουργικά, ἦχος λέγετος, ὑπὸ ᾿Ανδρέου ᾿Αλιπράντη (2002)
A35.jpg
A36.jpg
A37.jpg
Άβαταρ μέλους
Dionysios
 
Δημοσ.: 3950
Εγγραφη: Πέμ 11 Σεπ 2008, 21:30:05
Τοποθεσια: ᾿Αθῆναι

Re: Λειτουργικά ᾿Ανδρέου ᾿Αλιπράντη

Δημοσίευσηαπό Dionysios » Παρ 14 Αύγ 2009, 09:52:41

Λειτουργικά, ἦχος γ΄, ὑπὸ ᾿Ανδρέου ᾿Αλιπράντη (2003)
A29.jpg
A30.jpg
A31.jpg
Άβαταρ μέλους
Dionysios
 
Δημοσ.: 3950
Εγγραφη: Πέμ 11 Σεπ 2008, 21:30:05
Τοποθεσια: ᾿Αθῆναι

Re: Λειτουργικά ᾿Ανδρέου ᾿Αλιπράντη

Δημοσίευσηαπό Dionysios » Παρ 14 Αύγ 2009, 10:01:49

Λειτουργικά, ἦχος λέγετος (ἕτερα), ὑπὸ ᾿Ανδρέου ᾿Αλιπράντη (2003)
A38.jpg
A39.jpg
A40.jpg
Άβαταρ μέλους
Dionysios
 
Δημοσ.: 3950
Εγγραφη: Πέμ 11 Σεπ 2008, 21:30:05
Τοποθεσια: ᾿Αθῆναι

Re: Λειτουργικά ᾿Ανδρέου ᾿Αλιπράντη

Δημοσίευσηαπό Dionysios » Παρ 14 Αύγ 2009, 10:08:28

Λειτουργικά, ἦχος πλ. α΄, ὑπὸ ᾿Ανδρέου ᾿Αλιπράντη (2001-2002)
A41.jpg
A42.jpg
A43.jpg
Άβαταρ μέλους
Dionysios
 
Δημοσ.: 3950
Εγγραφη: Πέμ 11 Σεπ 2008, 21:30:05
Τοποθεσια: ᾿Αθῆναι

Re: Λειτουργικά ᾿Ανδρέου ᾿Αλιπράντη

Δημοσίευσηαπό Dionysios » Παρ 14 Αύγ 2009, 10:14:16

Λειτουργικά, ἦχος πλ. α΄ (ἕτερα), ὑπὸ ᾿Ανδρέου ᾿Αλιπράντη (2004)
A44.jpg
A45.jpg
A46.jpg
Άβαταρ μέλους
Dionysios
 
Δημοσ.: 3950
Εγγραφη: Πέμ 11 Σεπ 2008, 21:30:05
Τοποθεσια: ᾿Αθῆναι

Re: Λειτουργικά ᾿Ανδρέου ᾿Αλιπράντη

Δημοσίευσηαπό Dionysios » Παρ 14 Αύγ 2009, 10:38:31

Λειτουργικά, ἦχος πλ. α΄ (ἕτερα), ὑπὸ ᾿Ανδρέου ᾿Αλιπράντη (2001)
A47.jpg
A48.jpg
A49.jpg
A50.jpg
Άβαταρ μέλους
Dionysios
 
Δημοσ.: 3950
Εγγραφη: Πέμ 11 Σεπ 2008, 21:30:05
Τοποθεσια: ᾿Αθῆναι

Re: Λειτουργικά ᾿Ανδρέου ᾿Αλιπράντη

Δημοσίευσηαπό Dionysios » Παρ 14 Αύγ 2009, 10:47:08

Λειτουργικά, ἦχος πλ. β΄, ὑπὸ ᾿Ανδρέου ᾿Αλιπράντη (2004)
A51.jpg
A52.jpg
A53.jpg
Άβαταρ μέλους
Dionysios
 
Δημοσ.: 3950
Εγγραφη: Πέμ 11 Σεπ 2008, 21:30:05
Τοποθεσια: ᾿Αθῆναι

Re: Λειτουργικά ᾿Ανδρέου ᾿Αλιπράντη

Δημοσίευσηαπό Dionysios » Παρ 14 Αύγ 2009, 10:58:49

Λειτουργικά, ἦχος πλ. β΄ (ἕτερα), ὑπὸ ᾿Ανδρέου ᾿Αλιπράντη (2007)
A54.jpg
A55.jpg
A56.jpg
Διονύσιος ᾿Ανατολικιώτης, http://www.symbole.gr
e-mail: symbole@mail.com — Skype: dionysios-anat
«γηράσκω ἀεί διορθούμενος», τρίτη 11/7/2000
Άβαταρ μέλους
Dionysios
 
Δημοσ.: 3950
Εγγραφη: Πέμ 11 Σεπ 2008, 21:30:05
Τοποθεσια: ᾿Αθῆναι

Επόμενο

Επιστροφή στην ᾿Ανδρέας ᾿Αλιπράντης, μελοποιήσεις

Μελη σε συνδεση

Μέλη σε αυτή την Δ. Συζήτηση : Δεν υπάρχουν εγγεγραμμένα μέλη και 1 επισκέπτης